Ответы
Ответ дал:
0
3
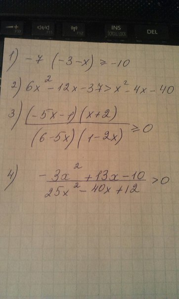
x=-0,2 x=-2 x=1,2 x=0,5
_ + _ + _
---------[-2]-----[-0,2]-------(0,5)-----(1,2)-------
x∈[-2;-0,2] U (0,5;1,2)
4
(3x²-13x+10)/(25x²-40x+12<0
3x²-13x+10=0
D=169-120=49
x1=(13-7)/6=1
x2=(13+7)/6=10/3
25x²-40x+12=0
D=1600-1200=400
x3=(40-20)/50=0,4
x4=(40+20)/50=1,2
+ _ + _ +
----------(0,4)-------(1)-----(1,2)-------(10/3)------------
x∈(0,4;1) U (1,2;10/3)
x=-0,2 x=-2 x=1,2 x=0,5
_ + _ + _
---------[-2]-----[-0,2]-------(0,5)-----(1,2)-------
x∈[-2;-0,2] U (0,5;1,2)
4
(3x²-13x+10)/(25x²-40x+12<0
3x²-13x+10=0
D=169-120=49
x1=(13-7)/6=1
x2=(13+7)/6=10/3
25x²-40x+12=0
D=1600-1200=400
x3=(40-20)/50=0,4
x4=(40+20)/50=1,2
+ _ + _ +
----------(0,4)-------(1)-----(1,2)-------(10/3)------------
x∈(0,4;1) U (1,2;10/3)
Ответ дал:
0
Спасибо огромное!!!
Ответ дал:
0
А можешь, пожалуйста, 2 решить? Я просто его решила, но не уверена
Ответ дал:
0
Ответ здесь неверный, корень не -10/3, а 10/3. Все изменится.
Ответ дал:
0
Хорошо)
Ответ дал:
0
Ответ 2:x∈(-бес;0,6) U (1;бес)
Ответ дал:
0
Для решения неравенства методом интервалов находим область определения. Здесь находим нули в знаменателе и выбрасываем их. Потом находим нули в числителе. В первом неравенстве они закрашены, там неравенство нестрогое. Во втором они выбиты. Считаем знаки на интервалах и записываем ответ.
Приложения:
Ответ дал:
0
Ооооо!! Большое, огромное спасибо!!
Ответ дал:
0
А можешь, пожалуйста, 2 решить? Я просто его решила, но не уверена
Ответ дал:
0
(- беск; 0,6) объедин(1; + беск).
Ответ дал:
0
Оооо, всё правильно))) Спасибо)
Вас заинтересует
3 года назад
3 года назад
8 лет назад
8 лет назад
10 лет назад
10 лет назад