• Предмет: Алгебра
  • Автор: katbelysheva
  • Вопрос задан 10 лет назад

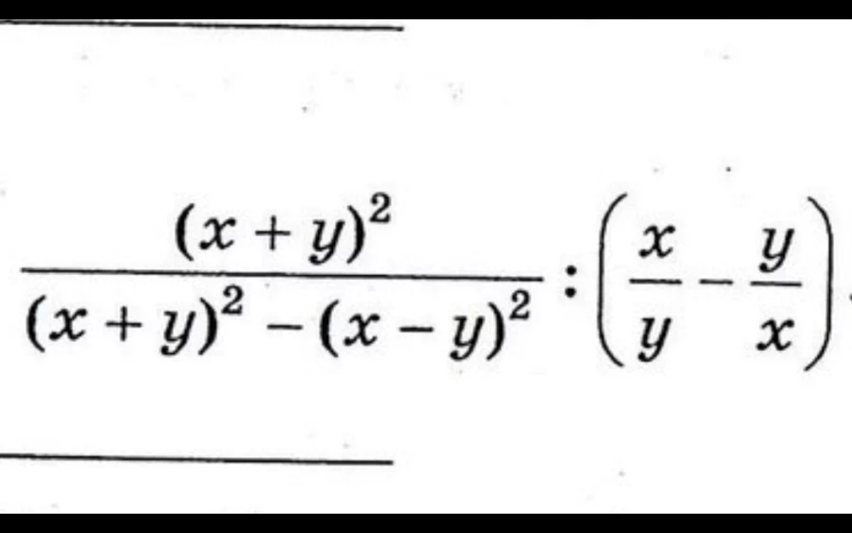
Помогите , срочно !!

Приложения:

Ответы

Ответ дал: Checov7400
0
решение в приложении.
Приложения:
Вас заинтересует