• Предмет: Математика
  • Автор: huinbin
  • Вопрос задан 10 лет назад

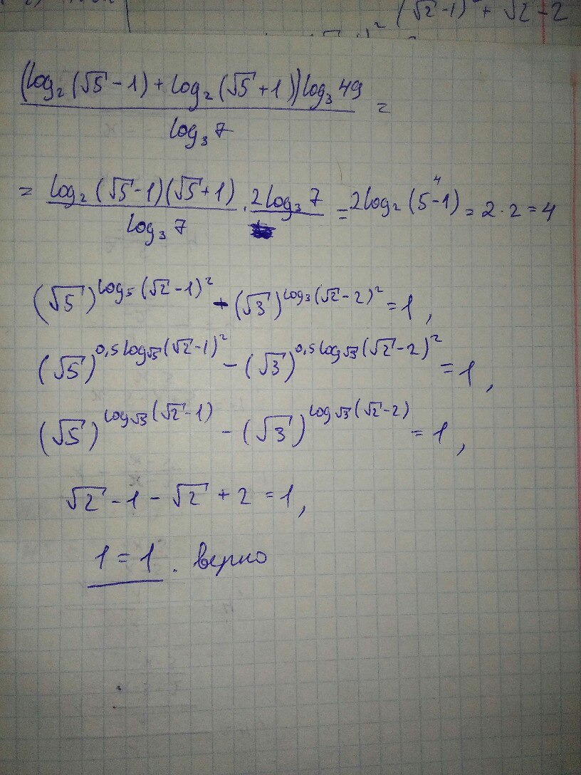
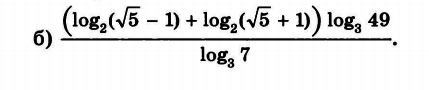
Пожалуйста помогите!!! срочнооо алгебра 10 класс, в первом ответ должен получиться 4.

Приложения:

Ответы

Ответ дал: Ифигения
0
Спрашивай, если что :)

Приложения:
Ответ дал: huinbin
0
Спасибо, хорошо)))
Ответ дал: Ифигения
0
Не за что))
Вас заинтересует