Ответы
Ответ дал:
0
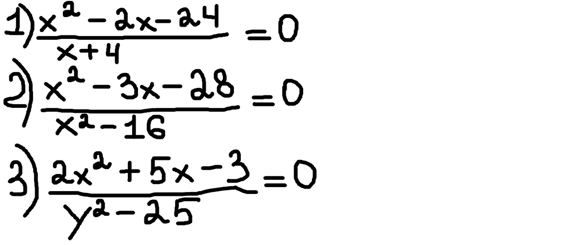
1) x^2-2x-24=0 при х≠-4
D=k^2-c, D=(-1)^2-(-24), D=25
x=-k±√D, x=1±√25, x₁=1-5=-4 - не подходит, х₂=1+5=6
Ответ: х=6
2) x^2-3x-28=0 при х≠4 и х≠-4
D=b^2-4ac, D=(-3)^2-4*1*(-28), D=9+112, D=121
x=(-b±√D)/2a, x=(3±√121)/2*1, x₁=(3-11)/2=-8/2=-4 - не подходит, х₂=(3+11)/2=14/2=7
Ответ: х=7
3) 2х^2+5х-3=0 при х≠-5 и х≠5
D=b^2-4ac, D=5^2-4*2*(-3), D=25+24, D=49
x=(-b±√D)/2a, x=(-5±√49)/2*2, x₁=(-5-7)/4=-12/4=-3, x₂=(-5+7)/4=2/4=1/2=0,5
Ответ: х=-3, х=0,5
D=k^2-c, D=(-1)^2-(-24), D=25
x=-k±√D, x=1±√25, x₁=1-5=-4 - не подходит, х₂=1+5=6
Ответ: х=6
2) x^2-3x-28=0 при х≠4 и х≠-4
D=b^2-4ac, D=(-3)^2-4*1*(-28), D=9+112, D=121
x=(-b±√D)/2a, x=(3±√121)/2*1, x₁=(3-11)/2=-8/2=-4 - не подходит, х₂=(3+11)/2=14/2=7
Ответ: х=7
3) 2х^2+5х-3=0 при х≠-5 и х≠5
D=b^2-4ac, D=5^2-4*2*(-3), D=25+24, D=49
x=(-b±√D)/2a, x=(-5±√49)/2*2, x₁=(-5-7)/4=-12/4=-3, x₂=(-5+7)/4=2/4=1/2=0,5
Ответ: х=-3, х=0,5
Ответ дал:
0
Мария, отличный ответ!
Ответ дал:
0
Спасибо Вам большущее за помощь! ;-)
Вас заинтересует
3 года назад
3 года назад
8 лет назад
10 лет назад
10 лет назад
11 лет назад