• Предмет: Алгебра
  • Автор: Erick14
  • Вопрос задан 11 лет назад

Помогите решить уравнение!

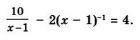
фото

 

Приложения:

Ответы

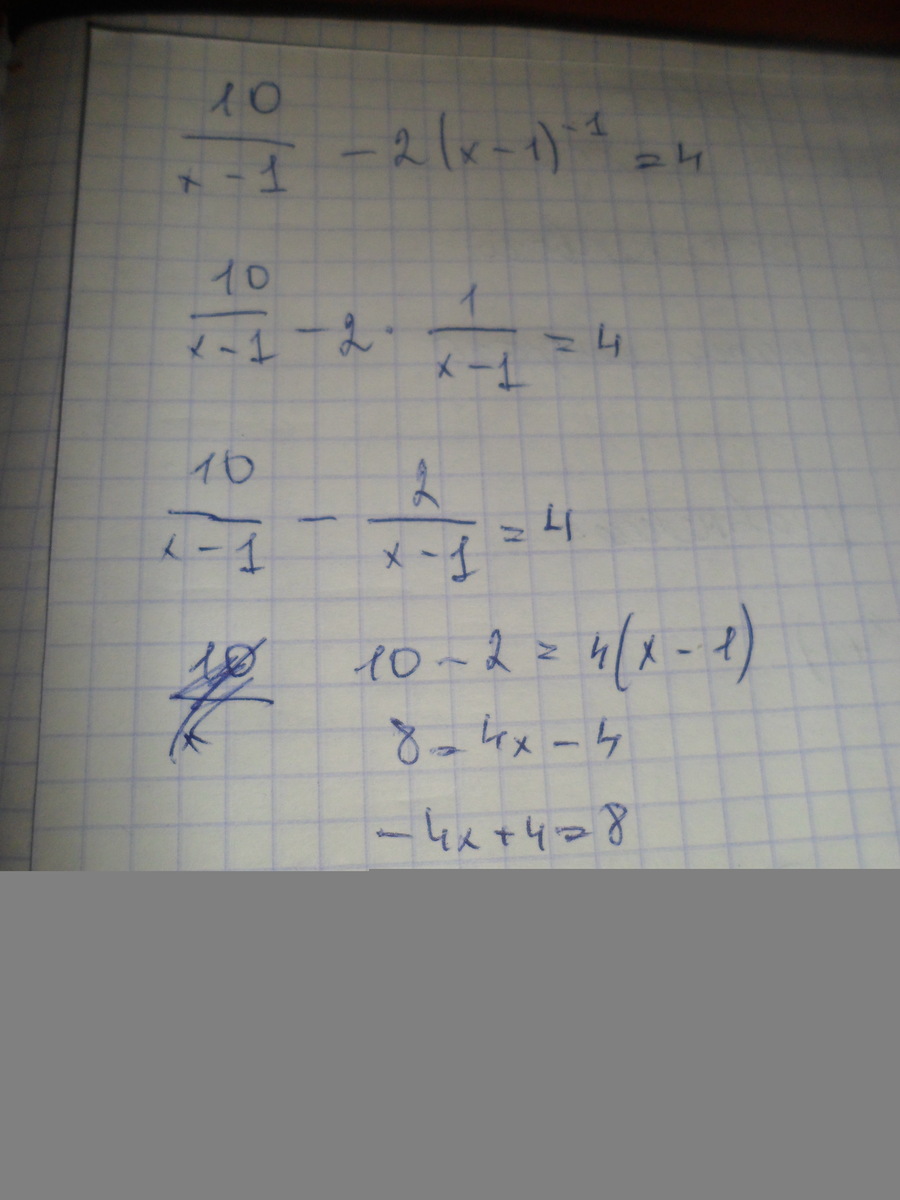
Ответ дал: kefa
0

.......................................

Приложения:
Ответ дал: Yena
0

frac{10}{x-1}-2(x-1)^{-1}=4

frac{10}{x-1}-frac{2}{x-1}=4

ОДЗ   x-1neq0

            xneq1

frac{10-2}{x-1}=4

8=4(x-1)

4x-4=8

4x=8+4

4x=12

x=12:4

x=3

Приложения:
Вас заинтересует