• Предмет: Алгебра
  • Автор: nikatsibuliaeva
  • Вопрос задан 10 лет назад

РЕШИТЬ УРАВНЕНИЯ С ОДЗ )

ЛЮБОЙ СПАМ БУДЕТ СРАЗУ ЖЕ УДАЛЕН!

Приложения:

Ответы

Ответ дал: Support001
0
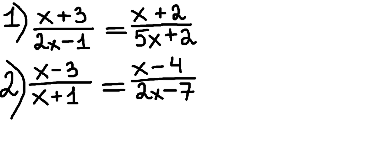
frac{x+3}{2x-1}=frac{x+2}{5x+2} \ ODZ= 2x-1 neq 0 ; x neq 0,5 ; \ 5x+2 neq 0 ; 5x neq -2 ; x neq -0,4; \ (x+3)(5x+2)=(x+2)(2x-1); \ 5x^2+2x+15x+6=2x^2-x+4x-2 \ 5x^2+17x+6-2x^2-3x+2=0 \ 3x^2+14x+8=0 \ D=14^2-4*8*3=196-96=100; \ x_{1,2} = frac{-14б10}{6} \ x_1 = -4; x_2 =-2/3

frac{x-3}{x+1}=frac{x-4}{2x-7} \ ODZ: 2x-7 neq 0 ; x neq 7/2; x+1 neq 0 ; x neq -1 \ (x-3)(2x-7)=(x+1)(x-4) \ 2x^2-7x-6x+21=x^2-4x+x-4 \ 2x^2-13x+21-x^2+3x+4=0 \ x^2-10x+25=0 \ D=10^2-4*25=0 \ x=10/2=5
Ответ дал: nikatsibuliaeva
0
Владислав, благодарю Вас за помощь!!! :)
Ответ дал: zahargm808
0
x+3/2x-1=x+2/5x+2
ОДЗ: 
x!=0.5
x!=-2/5
Общий знаменатель:
3x²+14x+8/(2x-1)(5x+2)=0
3x³+14x+8=0
D=196-96=100
x=-14+-10/6=-4; -2/3


(x-3)/(x+1)=(x-4)/(2x-7)
ОДЗ:
x!=-1
x!=3.5
Общий знаменатель:
x²-10x+25/(x+1)(2x-7)=0
x²-10x+25=0
D=100-100=0
x=10/2=5
Ответ дал: nikatsibuliaeva
0
Александр, спасибо Вам! Выручаете меня уже какой раз... )
Вас заинтересует