Ответы
Ответ дал:
0
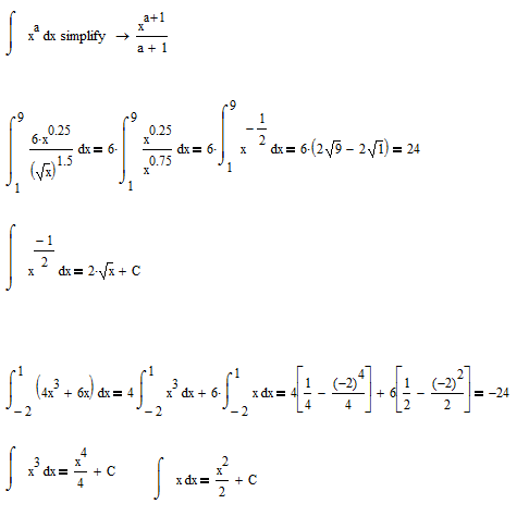
Смотри рисунок, постарался все расписать
Приложения:

Вас заинтересует
2 года назад
10 лет назад
10 лет назад
10 лет назад