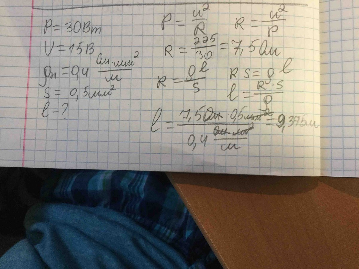
мощность потребляемая реастором 30 Вт напряжение на его зажимах 15 В определите длину никелиновой проводки необхадимой для изготовления реостора если его сечение 0,50мм
Ответы
Ответ дал:
0
Решение с дано, формулами и вычислениями
Приложения:

Вас заинтересует
2 года назад
7 лет назад
10 лет назад
10 лет назад
10 лет назад