Ответы
Ответ дал:
0
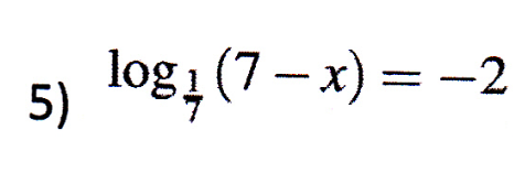
1)
По свойству логарифма, нам требуется записать это выражение так:




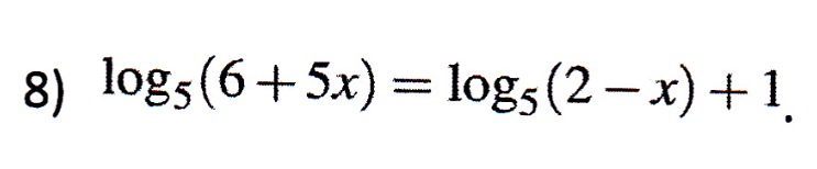
2)
Перенесем логарифмы в лево, и получим:

Откуда по свойству:






По свойству логарифма, нам требуется записать это выражение так:
2)
Перенесем логарифмы в лево, и получим:
Откуда по свойству:
Вас заинтересует
3 года назад
8 лет назад
10 лет назад
10 лет назад
11 лет назад
11 лет назад