• Предмет: Алгебра
  • Автор: мСкайлайти
  • Вопрос задан 10 лет назад

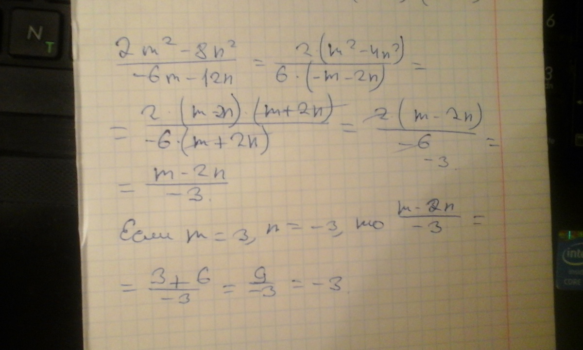
2m^2-8n^2/-6m-12n при m=3; n=-3

Ответы

Ответ дал: 12500
0
решение во вложенном файле
Приложения:
Вас заинтересует