Ответы
Ответ дал:
0
ответ -2, т к в числители должен быть ноль, а на ноль делить нельзя
то есть в знаменателе не должно быть нуля
остальные ответы не подходят
то есть в знаменателе не должно быть нуля
остальные ответы не подходят
Ответ дал:
0
но ведь -2^2=4
Ответ дал:
0
4-9= -5
Ответ дал:
0
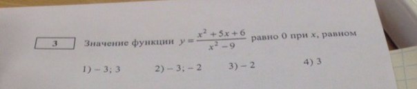
Приравниваем данную дробь к нулю и решаем уравнение.
Числитель разложим на множители, найдя корни квадратного уравнения, т.е. решаем Х²+5Х+6=0. По т.Виета: Х1+Х2= -В = -5; Х1*Х2=С=6, отсюда, Х1=-3, Х2= -2. Таким образом квадратный трехчлен Х²+5Х+6 = (Х+3)(Х+2) - это наш числитель.
Теперь разложим знаменатель: (Х-3)(Х+3).
(Х+3) в числителе и знаменателе сокращаем, остается дробь с числителем Х+2 и знаменателем Х-3. Приравниваем эту дробь к нулю. Находим ОДЗ: Х не должен быть равен 3. Решаем простое уравнение Х+2=0, откуда Х= -2.
Ответ: № 3
Числитель разложим на множители, найдя корни квадратного уравнения, т.е. решаем Х²+5Х+6=0. По т.Виета: Х1+Х2= -В = -5; Х1*Х2=С=6, отсюда, Х1=-3, Х2= -2. Таким образом квадратный трехчлен Х²+5Х+6 = (Х+3)(Х+2) - это наш числитель.
Теперь разложим знаменатель: (Х-3)(Х+3).
(Х+3) в числителе и знаменателе сокращаем, остается дробь с числителем Х+2 и знаменателем Х-3. Приравниваем эту дробь к нулю. Находим ОДЗ: Х не должен быть равен 3. Решаем простое уравнение Х+2=0, откуда Х= -2.
Ответ: № 3
Вас заинтересует
3 года назад
8 лет назад
10 лет назад
10 лет назад
10 лет назад