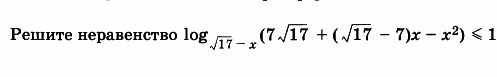
Ответы
Ответ дал:
0
решение квадратного неравенства "парабола, ветви вверх":
со знаком "меньше" --- "между корнями"
co знаком "больше" --- "меньше меньшего корня, больше большего корня")))
со знаком "меньше" --- "между корнями"
co знаком "больше" --- "меньше меньшего корня, больше большего корня")))
Приложения:
Вас заинтересует
3 года назад
8 лет назад
10 лет назад
10 лет назад