• Предмет: Алгебра
  • Автор: Evalanka
  • Вопрос задан 10 лет назад

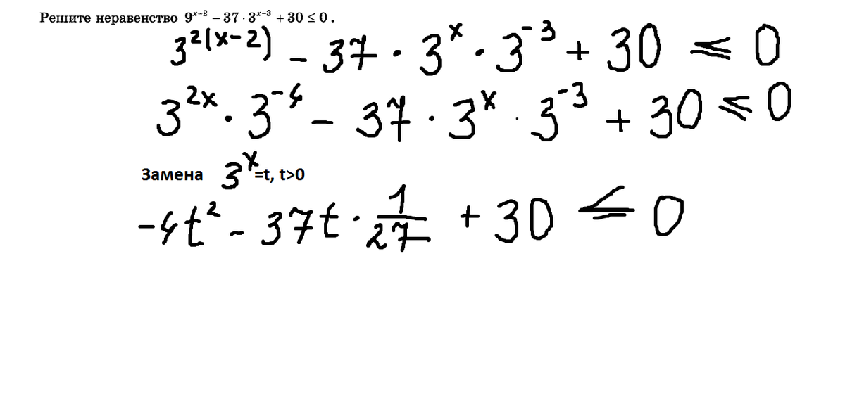
Как решить это неравенство?пожалуйста объясните!!

Приложения:

Ответы

Ответ дал: laymlaym2
0
..........................................
Приложения:
Ответ дал: Evalanka
0
спасибо огромное!!!
Вас заинтересует