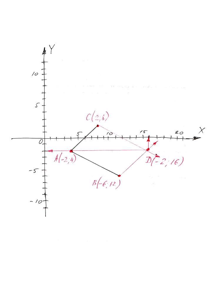
Точки А(-2;4), В(-6;12), С(2;8) являются вершинами параллелограмма. Найти его четвертую вершину.
Ответы
Ответ дал:
0
решение во вложении геометрия.jpg
Приложения:

Вас заинтересует
2 года назад
2 года назад
8 лет назад
10 лет назад
10 лет назад
10 лет назад