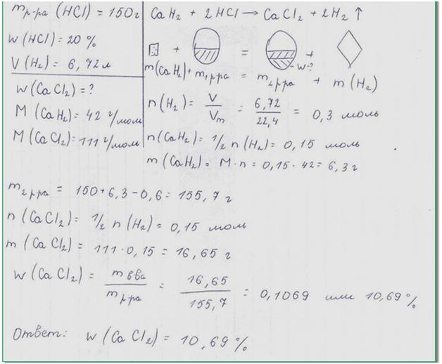
Гидрид кальция внесли в избыток раствора соляной кислоты (масса раствора кислоты 150г, массовая доля HCl 20%). При этом выделилось 6,72л (н.у.) водорода. Рассчитайте массовую долю хлорида кальция в полученном растворе.
Ответы
Ответ дал:
0
Вот пожалуйста
если что в личку)
Приложения:

Вас заинтересует
2 года назад
2 года назад
8 лет назад
10 лет назад
10 лет назад