• Предмет: Математика
  • Автор: Диванчоус
  • Вопрос задан 11 лет назад

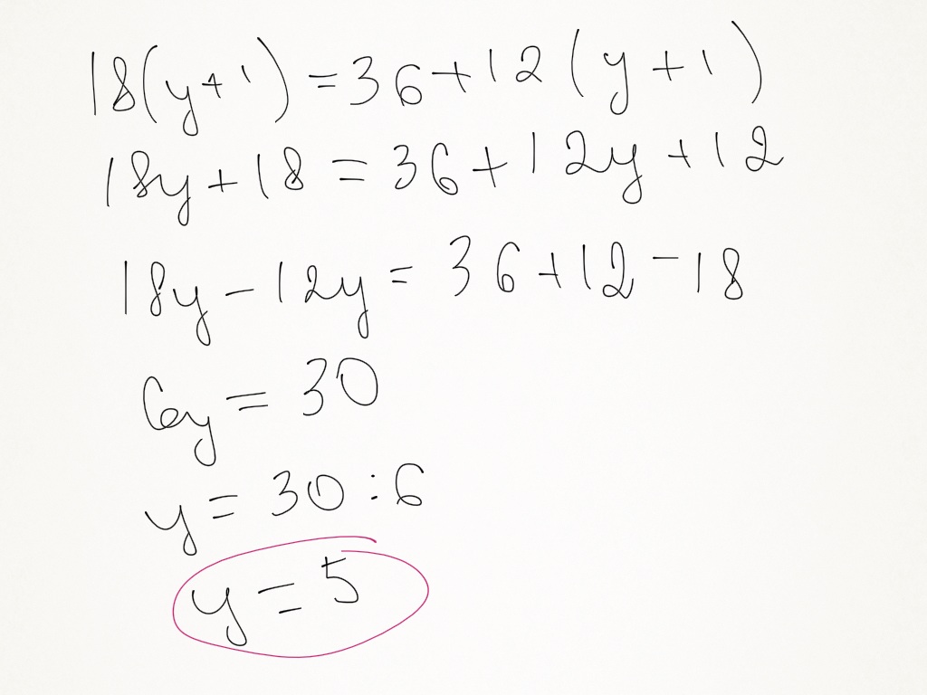
Реши уравнения ...                                                                                                                                                                    ( у + 1 ) * 18 = 36 + 12 * ( у + 1 )                                                                                                          ( р + 5 ) * 7 - 54 = ( р + 5 ) * 4                                                                                                                          17 * ( с - 2 ) - 36 = 19 + ( с - 2 ) *12

Ответы

Ответ дал: CоняШарян
0

  ( у + 1 ) * 18 = 36 + 12 * ( у + 1 )    

18y+18=36+12y+12

18y-12y=48-18

6y=30

y=5

Ответ: 5

Ответ дал: Лизавета1235
0

Решения уравнений во влажениях

Приложения:
Вас заинтересует