• Предмет: Алгебра
  • Автор: AnAsTananas
  • Вопрос задан 10 лет назад

Математика 11 класс.

Приложения:

Ответы

Ответ дал: NNNLLL54
0
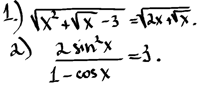
1); sqrt{x^2+sqrt{x}-3}= sqrt{2x+sqrt{x}} ; ,; ; ODZ: left { {{x geq 0; ,; 2x+sqrt{x} geq 0} atop {x^2+sqrt{x}-3 geq 0}} right. \\x^2+sqrt{x}-3=2x+sqrt{x}\\x^2-2x-3=0\\x_1=-1 textless  0; notin ODZ\\x_2=3\\Proverka:; ; sqrt{9+sqrt3-3}=sqrt{6+sqrt3}\\sqrt{6+sqrt3}=sqrt{6+sqrt3}\\Otvet:; ; x=3.

 frac{2sin^2x}{1-cosx} =3 ,; ; ; ; ODZ:; ; cosxne 1; to ; xne 2pi n,; nin Z\\2sin^2x=3(1-cosx)\\2sin^2x=3cdot 2sin^2frac{x}{2}\\2(2sinfrac{x}{2}cdot cosfrac{x}{2})^2-6sin^2frac{x}{2}=0\\2sin^2frac{x}{2}cdot (4cos^2frac{x}{2}-3sinfrac{x}{2})=0\\a); sin^2frac{x}{2}=0; ,; frac{x}{2}=pi k,; x=2pi k; notin ODZ\\b); 4cos^2frac{x}{2}-3sinfrac{x}{2}=0\\4(1-sin^2frac{x}{2})-3sinfrac{x}{2}=0\\t=sinfrac{x}{2}; ,
; ; -1leq t<= 1\\4-4t^2-3t=0\\4t^2+3t-4=0\\D=576\\t_1=frac{-3-24}{8}=-3,375 textless  -1; ; ;; ; t_2=2,625 textgreater  -1

Ответ:  нет решений.
Ответ дал: NNNLLL54
0
Перезагрузи, если не видно
Ответ дал: AnAsTananas
0
Большое спасибо.
Вас заинтересует