Ответы
Ответ дал:
0
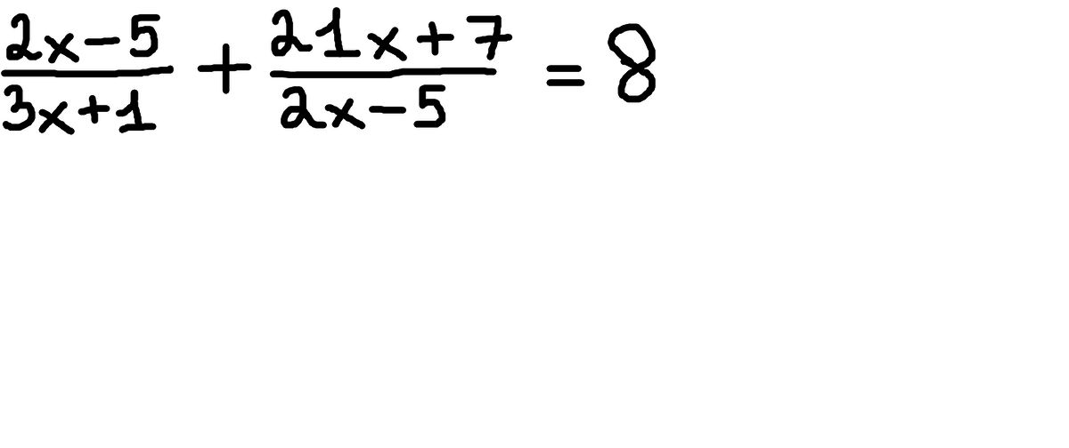
(2x-5)²+(21x+7)(3x+1)=8*(3x+1)(2x-5)
ОДЗ:
3x+1≠0; x≠-1/3
2x-5≠0; x≠2.5
4x²-20x+25+63x²+21x+21x+7=8(6x²-15x+2x-5)
67x²+22x+32=48²-104x-40
19x²+126x+72=0
D=126*126-72*19*4=10404
x=-126+-102/38 = -6; -12/19
Ну и уравнения у тебя, конечно!
Где берешь?)
ОДЗ:
3x+1≠0; x≠-1/3
2x-5≠0; x≠2.5
4x²-20x+25+63x²+21x+21x+7=8(6x²-15x+2x-5)
67x²+22x+32=48²-104x-40
19x²+126x+72=0
D=126*126-72*19*4=10404
x=-126+-102/38 = -6; -12/19
Ну и уравнения у тебя, конечно!
Где берешь?)
Ответ дал:
0
ОДЗ добавь
Ответ дал:
0
ОЗ (2х-5)(3х+1)≠0
х≠2,5 и х≠-1/3
(2x-5)²+(21x+7)(3x+1)=8(3x+1)(2x-5)
4x²-20x+25+63x²+21x+21x+7-48x²+120x-16x+40=0
19x²+126x+72=0
D=15876-5472=10404
√D=102
x1=(-126-102)/38=-228/38=-6
x2=(-126+102)/38=-24/38=-12/19
х≠2,5 и х≠-1/3
(2x-5)²+(21x+7)(3x+1)=8(3x+1)(2x-5)
4x²-20x+25+63x²+21x+21x+7-48x²+120x-16x+40=0
19x²+126x+72=0
D=15876-5472=10404
√D=102
x1=(-126-102)/38=-228/38=-6
x2=(-126+102)/38=-24/38=-12/19
Вас заинтересует
3 года назад
8 лет назад
10 лет назад
10 лет назад
11 лет назад
11 лет назад