Ответы
Ответ дал:
0
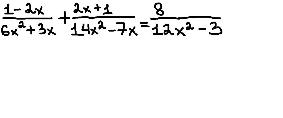
(1-2x)/3x(2x+1)+(2x+1)/7x(2x-1)=8/3(2x-1)(2x+1)
(1-2x)(14x-7)+(2x+1)(6x+3)=8*7x
x≠0'x≠0,5;x≠-0,5
14x-7-28x²+14x+12x²+6x+6x+3-56x=0
-16x²-16x-4=0
4x²+4x+1=0
(2x+1)²=0
2x+1=0
2x=-1
x=-0,5 не удов усл
Ответ решения нет
(1-2x)(14x-7)+(2x+1)(6x+3)=8*7x
x≠0'x≠0,5;x≠-0,5
14x-7-28x²+14x+12x²+6x+6x+3-56x=0
-16x²-16x-4=0
4x²+4x+1=0
(2x+1)²=0
2x+1=0
2x=-1
x=-0,5 не удов усл
Ответ решения нет
Ответ дал:
0
ОДЗ:
6x²+3x≠0
x≠-1/2
14x²-7x≠0
x≠1/2
12x²-3≠0
x≠1/2; -1/2
x≠0
(1-2x)/(6x²+3x)+(2x+1)/(14x²-7x)=8/(12x²-3)
(1-2x)(14x²-7x)(12x²-3) + (2x+1)(6x²+3x)(12x²-3)=8(6x²+3x)(14x²-7x)
-336x⁵+336x⁴-84x²+21x+144x⁵+144x⁴-36x²-9x=672x⁴-168x²
-336x⁵+336x⁴-84x²+21x+144x⁵+144x⁴-36x²-9x=168x²(2x-1)(2x+1)=0
168x²(2x-1)(2x+1)=0
x=0
x=0.5
x=-0.5
Ответ с учетом ОДЗ: Решений нет
6x²+3x≠0
x≠-1/2
14x²-7x≠0
x≠1/2
12x²-3≠0
x≠1/2; -1/2
x≠0
(1-2x)/(6x²+3x)+(2x+1)/(14x²-7x)=8/(12x²-3)
(1-2x)(14x²-7x)(12x²-3) + (2x+1)(6x²+3x)(12x²-3)=8(6x²+3x)(14x²-7x)
-336x⁵+336x⁴-84x²+21x+144x⁵+144x⁴-36x²-9x=672x⁴-168x²
-336x⁵+336x⁴-84x²+21x+144x⁵+144x⁴-36x²-9x=168x²(2x-1)(2x+1)=0
168x²(2x-1)(2x+1)=0
x=0
x=0.5
x=-0.5
Ответ с учетом ОДЗ: Решений нет
Вас заинтересует
3 года назад
8 лет назад
8 лет назад
10 лет назад
10 лет назад
10 лет назад