• Предмет: Математика
  • Автор: муравьева1
  • Вопрос задан 10 лет назад

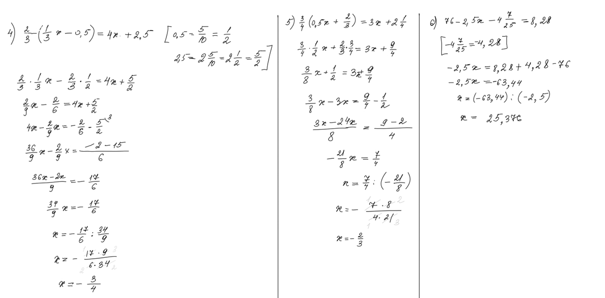
прошу вас решите уравнение 4,5,6 плиз

Приложения:

Ответы

Ответ дал: UluanaV
0
Решение в прикрепленном файле.
Приложения:
Вас заинтересует