• Предмет: Алгебра
  • Автор: VikaaSik
  • Вопрос задан 10 лет назад

помогите решить алгебру ,пожалуйста ,один пример
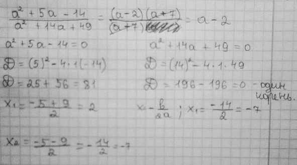
а^2+5а-14
---------------- =
а^2+14а+49

Ответы

Ответ дал: razuvaevaangel
0
Я решила через  дискриминант и подставила по формуле. 
Я надеюсь, что видно.
Приложения:
Ответ дал: VikaaSik
0
спасибо огромное
Вас заинтересует