• Предмет: Алгебра
  • Автор: nastya1991997
  • Вопрос задан 11 лет назад

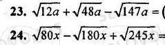
Как решить эти примеры?Задание во вложение...

Приложения:

Ответы

Ответ дал: PrincessTheRipper
0

корень из 12а = корень из 4 * 3a  = 2 корней из 3а

корень из 48а=  16*3a = 4 корней из 3а

корень из 147а= 49 * 3а = 7 корней из 3а

тогда сложив их получим 13 корней из 3а

 

 

аналогично решай второе, разлагай на множители так, чтобы корень у всех остался одинаковым, тогда можно будет выполнить сложение

Вас заинтересует