Ответы
Ответ дал:
0
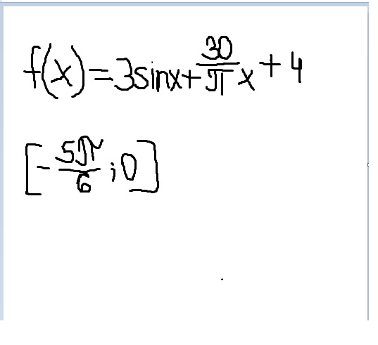
f(x)=3sinx+30x/π+4
f`(x)=3cosx+30/π=0
cosx=-10/π<-1 нет решения
f(-5π/6)=3sin(-5π/6)-5π/6*30/π+4=3*1/2-25+4=-25+5,5=-19,5
f(0)=3sin0+30*0/π+4=4 наиб
f`(x)=3cosx+30/π=0
cosx=-10/π<-1 нет решения
f(-5π/6)=3sin(-5π/6)-5π/6*30/π+4=3*1/2-25+4=-25+5,5=-19,5
f(0)=3sin0+30*0/π+4=4 наиб
Вас заинтересует
2 года назад
2 года назад
8 лет назад
8 лет назад
10 лет назад