• Предмет: Математика
  • Автор: krivonosovaann1
  • Вопрос задан 10 лет назад

РЕБЯТ, ПОМОГИТЕ ПОЖАЛУЙСТА.
ОДИН ПРИМЕРЧИК. НУЖНО НАЙТИ ПРЕДЕЛ

Приложения:

Ответы

Ответ дал: kirichekov
0
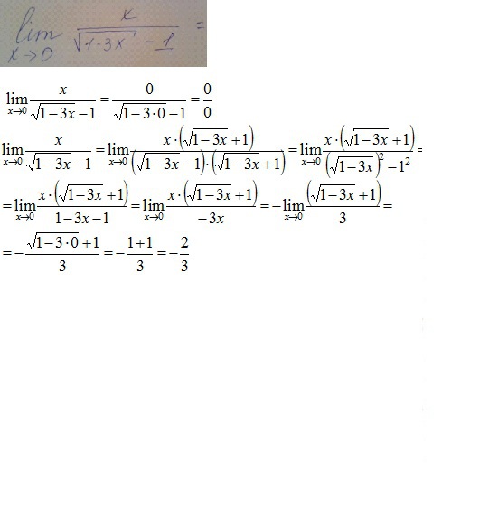
lim(x/(√(1-3x)-1))=0/(√(1-3*0)-1)=0/0
x->0

lim([x]/[√(1-3x)-1]=lim([x*(√(1-3x)+1)]/[(√(1-3x)-1)*(√(1-3x)+1)])=
x->0                       x->0   
=lim([x*(√(1-3x)+1)]/[(√(1-3x))²-1²]=lim([x*(√(1-3x)+1)]/[1-3x-1])=
  x->0                                               x->0
=-lim([√(1-3x)+1]/[3])=-(√(1-3*0)+1)/3=-2/3
    x->0
Приложения:
Ответ дал: krivonosovaann1
0
ааа, все все, просто комментарий не прочитала)))
Ответ дал: kirichekov
0
сделала "печатный вариант"
Ответ дал: krivonosovaann1
0
и где он?
Ответ дал: krivonosovaann1
0
уже в принципе уже не нужно, я разобралась, спасибо)))
Ответ дал: kirichekov
0
добавлен в виде картинки
Вас заинтересует