Решите пожалуйста, болела на этой теме и теперь плохо понимаю. Во втором номере надо вставить нужную цифру
Приложения:
Ответы
Ответ дал:
0
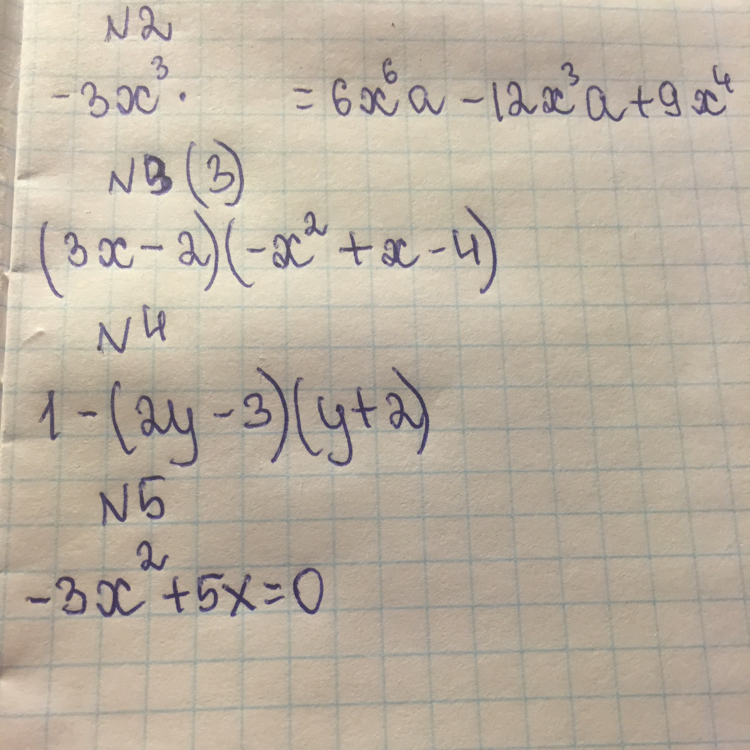
№2 -3х³(-2х³а + 4а -3х) =6х⁶а -12х³а +9х⁴
№3 (3х-2)(-х²+х-4) =-3х³+ 3х² - 12х+2х² - 2х + 8 = -3х³ + 5х² - 14х + 8
№4 1-(2у - 3)( у + а) = 1 - (2у² -3у + 2уа - 3а) = 1- 2у² + 3у -2уа + 3а
№5 -3х² + 5х = 0
х( -3х + 5) = 0
х= 0; -3х + 5=0
-3х = -5
х = 1 2/3
№3 (3х-2)(-х²+х-4) =-3х³+ 3х² - 12х+2х² - 2х + 8 = -3х³ + 5х² - 14х + 8
№4 1-(2у - 3)( у + а) = 1 - (2у² -3у + 2уа - 3а) = 1- 2у² + 3у -2уа + 3а
№5 -3х² + 5х = 0
х( -3х + 5) = 0
х= 0; -3х + 5=0
-3х = -5
х = 1 2/3
Вас заинтересует
2 года назад
8 лет назад
8 лет назад
10 лет назад
10 лет назад
10 лет назад