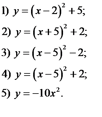
Укажите формулу функции, график которой получается из графика функции y=x^2 смещением его на 5 единичных отрезков влево вдоль оси абсцисс и на 2 единичных отрезка вверх вдоль оси ординат. И варианты ответов:
Приложения:

Ответы
Ответ дал:
0
y=x²⇒
y=(x-5)²+2;
вариант4
y=(x-5)²+2;
вариант4
Вас заинтересует
2 года назад
7 лет назад
7 лет назад
10 лет назад
10 лет назад
10 лет назад