• Предмет: Алгебра
  • Автор: luissuarez79
  • Вопрос задан 10 лет назад

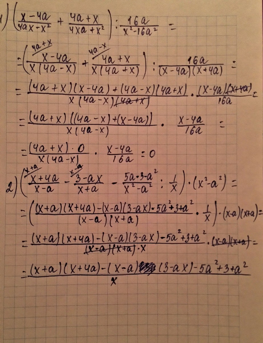
Упростите выражение. Алгебра 9 класс
пожалуйста

Приложения:

Ответы

Ответ дал: andrew36
0
как-то так...........................
Приложения:
Вас заинтересует