Ответы
Ответ дал:
0
значок ^ обозначает в степени
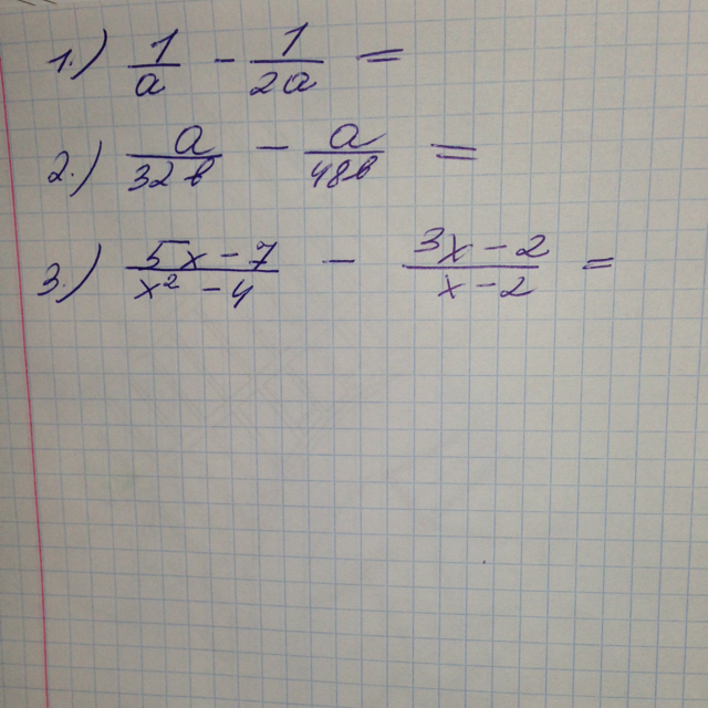
1) (2-1)/2a=1/2a
2) (48ab-32ab)/1536b=
16ab/1536b=a/96
3) x^2-4=(x-2)(x+2)
(5x-7)-(3x-2)(x+2))/(x-2)(x+2)
=(5x-7-(3x^2+4x-4))/
/(x-2)(x+2)=(5x-7-3x^2-4x+4)/
/(x-2)(x+2)=(x-3x^2-3)/(x^2-4)
1) (2-1)/2a=1/2a
2) (48ab-32ab)/1536b=
16ab/1536b=a/96
3) x^2-4=(x-2)(x+2)
(5x-7)-(3x-2)(x+2))/(x-2)(x+2)
=(5x-7-(3x^2+4x-4))/
/(x-2)(x+2)=(5x-7-3x^2-4x+4)/
/(x-2)(x+2)=(x-3x^2-3)/(x^2-4)
Вас заинтересует
3 года назад
3 года назад
8 лет назад
8 лет назад
10 лет назад
10 лет назад
11 лет назад