Пожалуйста помогите!!!
1. (Рус) - Найдите общий вид первообразных.
(Укр) - Знайдіть загальний вигляд первісних.
Приложения:
Ответы
Ответ дал:
0
1
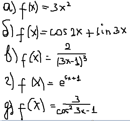
F(x)=x³+C
2
F(x)=1/2sin2x-1/3cos3x+C
3
F(x)=-1/(3x-1)²+C
4
F(x)=1/5e^(5x+1)
5
f(x)=-3/sin²3x
F(x)=ctg3x
F(x)=x³+C
2
F(x)=1/2sin2x-1/3cos3x+C
3
F(x)=-1/(3x-1)²+C
4
F(x)=1/5e^(5x+1)
5
f(x)=-3/sin²3x
F(x)=ctg3x
Вас заинтересует
3 года назад
8 лет назад
8 лет назад
10 лет назад
10 лет назад
11 лет назад