• Предмет: Алгебра
  • Автор: lolo4ka55
  • Вопрос задан 11 лет назад

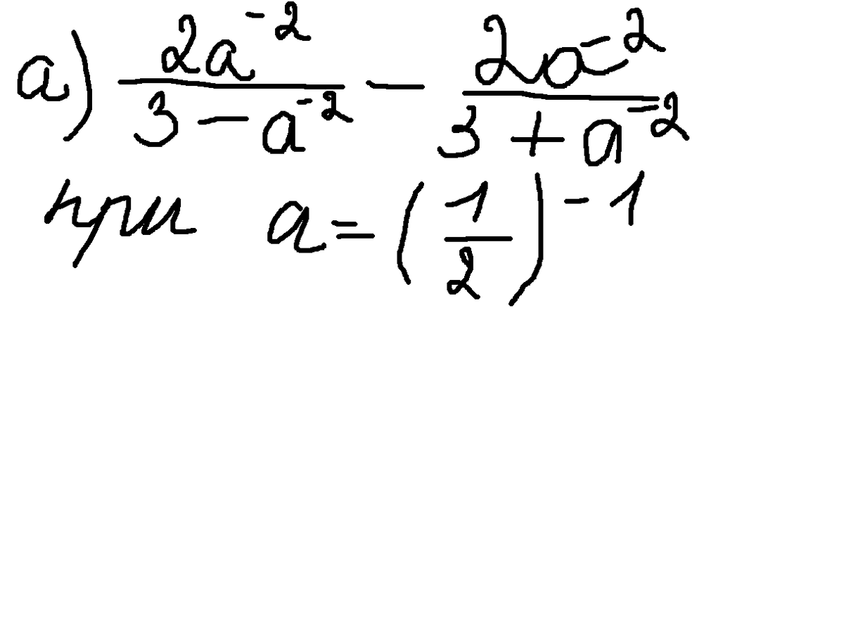
упростите выражение и найдите его значение

Приложения:

Ответы

Ответ дал: Klick
0

(2а^-2)/(3-a^-2)-(2a^-2)/(3+a^-2)=((2a^-2)(3+a^-2)-(2a^-2)(3-a^-2))/(9-a^-4)=

((2a^-2)(3+a^-2-3+a^-2))/(9-a^-4)=(4a^-4)/(9-a^-4)=(4*2^-4)/(9-2^-4)=4/143?

Вас заинтересует