• Предмет: Алгебра
  • Автор: isienkievich
  • Вопрос задан 10 лет назад

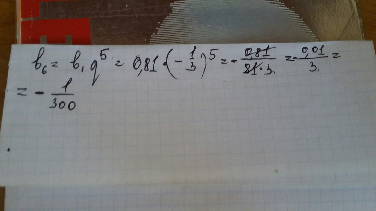
Найдите шестой член геометрической прогрессии (b^n), если b^1 =0,81 ,и q = -1/3.

Ответы

Ответ дал: RoOstok
0
Не забудь поблагадрить за Решение ! И отметь лучшим пожалуйста!!
Приложения:
Вас заинтересует