• Предмет: Алгебра
  • Автор: Аноним
  • Вопрос задан 10 лет назад

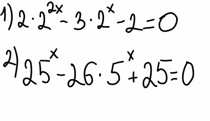
Помогите решить показательные уравнения,в первом ответ 1,во втором 0 и 2.

Приложения:

Ответы

Ответ дал: manyny06
0
решение смотри на фотографии
Приложения:
Вас заинтересует