• Предмет: Геометрия
  • Автор: derbentsevan
  • Вопрос задан 10 лет назад

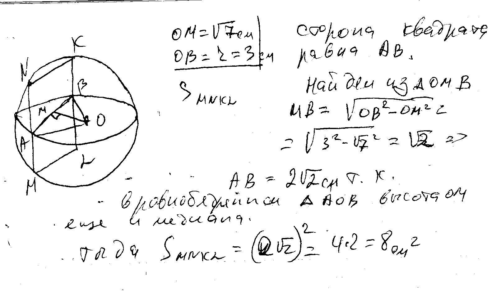
вершины квадрата лежат на поверхности шара радиуса 3 см. Расстояние от центра шара до плоскости квадрата корень из 7. найдите площадь квадрата. если можно с рисунком, спасибо)

Ответы

Ответ дал: ужнеужели
0
вершины квадрата лежат на поверхности шара радиуса 3 см. Расстояние от центра шара до плоскости квадрата корень из 7. найдите площадь квадрата. если можно с рисунком, спасибо)
Приложения:
Вас заинтересует