• Предмет: Математика
  • Автор: Ulka97
  • Вопрос задан 10 лет назад

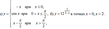
Исследовать функции на непрерывность и сделать схематический черчеж

Приложения:

Ответа на этот вопрос пока нет. Попробуйте найти его через форму поиска.

Вас заинтересует