Помогите, пожалуйста, решить уравнения, задания на картинке прикреплены. Хотя бы одно из этих!
Приложения:

Ответы
Ответ дал:
0
Значит, х=2 явл. корнем уравнения и левая часть уравнения
делится нацело на (х-2).
Ответ дал:
0
спасибо вам огромное!
Ответ дал:
0
2-оу уравнение биквадратное, замена: t=x^2. А для решения последнего уравнения рассматриваешь 2 случая: выражение под корнем неотрицательное или отрицательное
Ответ дал:
0
еще раз спасибо, вы мне очень помогли с:
Ответ дал:
0
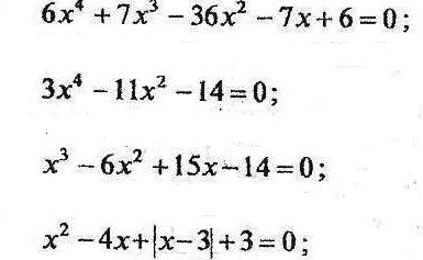
6x⁴ +7x³ -36x² -7x +6 =0 ; * * * возвратное уравнение * * *
x =0 не корень данного уравнения
6x² +7x -36 -7/x +6/x² =0 ;
6(x² +1/x²) +7(x -1/x) -36 =0 ;
6((x-1/x)² +2) +7(x-1/x) -36 =0 * * * замена t =x -1/x * * *
6(t² +2) +7t -36 =0 ⇔6t² +7t -24 =0 и т.д.
-------
x³ -6x² +15x -14 =0 ;
делители 14: ± 1; ±2 ; ±7; ±14 .
x =2 корень
x³ -2x²-4x² +8x +7x -14 =0 ;
x²(x-2) -4x(x-2) +7(x-2) =0 ;
(x-2)(x² -4x +7) =0 .
или
x³ -8 - 6x² +12x +3x -6 =0 ;
(x³ -8) - 6x(x -2) +3(x -2) =0 ;
(x -2)(x²+2x+4) - 6x(x -2) +3(x -2) =0 ;
(x -2)(x²+2x+4 - 6x+3) =0 ;
(x -2)(x²-4x+7) =0 ;
или
по схеме Горнера
или разделить по уголкам.
-------
x² -4x +|x-3| +3 =0 ;
а) {x-3 <0 ; x²-4x -(x-3) +3 =0⇔ {x <3 ; x² -5x +6=0⇒{x<3 ;[x=2;x=3. ⇒x=2.
б) {x-3 ≥0 ; x²-4x +(x-3) +3 =0⇔{x≥3 ; x(x-3) =0⇒ x =3.
ответ : 2 ; 3.
-------
3x⁴ -11x² -14 =0 ; * * * замена t =x² ≥0 * * *
3t² -11t -14 =0
D =11² -4*3(-14) =121 + 168 =289 =17²
t₁ =(11-17)/2*3 = -1 (не корень исходного уравнения);
t₂= (11+17)/6 =14/3.
x² =14/3⇒x =±√14/3 =±(√42) /3.
----
или сразу (квадратное уравнение относительно x²)
x₁² =(11-17)/2*3 = -1(не имеет действительных корней).
x₂² =(11+17)/6 =28/6 =14/3.
ответ : ±(√42) /3.
x =0 не корень данного уравнения
6x² +7x -36 -7/x +6/x² =0 ;
6(x² +1/x²) +7(x -1/x) -36 =0 ;
6((x-1/x)² +2) +7(x-1/x) -36 =0 * * * замена t =x -1/x * * *
6(t² +2) +7t -36 =0 ⇔6t² +7t -24 =0 и т.д.
-------
x³ -6x² +15x -14 =0 ;
делители 14: ± 1; ±2 ; ±7; ±14 .
x =2 корень
x³ -2x²-4x² +8x +7x -14 =0 ;
x²(x-2) -4x(x-2) +7(x-2) =0 ;
(x-2)(x² -4x +7) =0 .
или
x³ -8 - 6x² +12x +3x -6 =0 ;
(x³ -8) - 6x(x -2) +3(x -2) =0 ;
(x -2)(x²+2x+4) - 6x(x -2) +3(x -2) =0 ;
(x -2)(x²+2x+4 - 6x+3) =0 ;
(x -2)(x²-4x+7) =0 ;
или
по схеме Горнера
или разделить по уголкам.
-------
x² -4x +|x-3| +3 =0 ;
а) {x-3 <0 ; x²-4x -(x-3) +3 =0⇔ {x <3 ; x² -5x +6=0⇒{x<3 ;[x=2;x=3. ⇒x=2.
б) {x-3 ≥0 ; x²-4x +(x-3) +3 =0⇔{x≥3 ; x(x-3) =0⇒ x =3.
ответ : 2 ; 3.
-------
3x⁴ -11x² -14 =0 ; * * * замена t =x² ≥0 * * *
3t² -11t -14 =0
D =11² -4*3(-14) =121 + 168 =289 =17²
t₁ =(11-17)/2*3 = -1 (не корень исходного уравнения);
t₂= (11+17)/6 =14/3.
x² =14/3⇒x =±√14/3 =±(√42) /3.
----
или сразу (квадратное уравнение относительно x²)
x₁² =(11-17)/2*3 = -1(не имеет действительных корней).
x₂² =(11+17)/6 =28/6 =14/3.
ответ : ±(√42) /3.
Ответ дал:
0
большое спасибо! и вопрос: в последнем уравнении (3x⁴ -11x² -14 =0) разве корнем будет не (√14/3)?
Ответ дал:
0
√(14/3) = √(14*3/3*3 ) =√(42)/3
Ответ дал:
0
тоже самое но только знаменатель рационально
Ответ дал:
0
благодарю!
Вас заинтересует
2 года назад
2 года назад
7 лет назад
7 лет назад
10 лет назад
10 лет назад
10 лет назад