Ответы
Ответ дал:
0
!/ знак корня
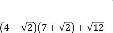
=28+4!/2-7!/2-2+2!/3=
=28-3!/2+2!/3
раскрыли скобки. потом
!/12=!/4×3=2!/3.
=28+4!/2-7!/2-2+2!/3=
=28-3!/2+2!/3
раскрыли скобки. потом
!/12=!/4×3=2!/3.
Вас заинтересует
2 года назад
2 года назад
8 лет назад
8 лет назад
10 лет назад
10 лет назад