• Предмет: Алгебра
  • Автор: tatiana0312
  • Вопрос задан 10 лет назад

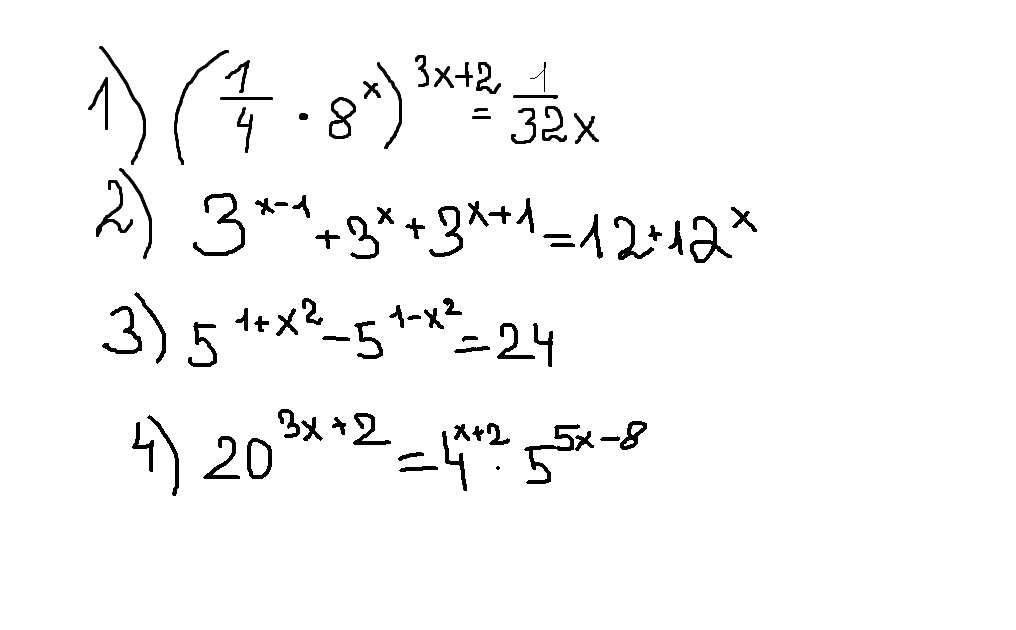
Помогите решить уровнения
Фото внизу

Приложения:

Ответа на этот вопрос пока нет. Попробуйте найти его через форму поиска.

Вас заинтересует