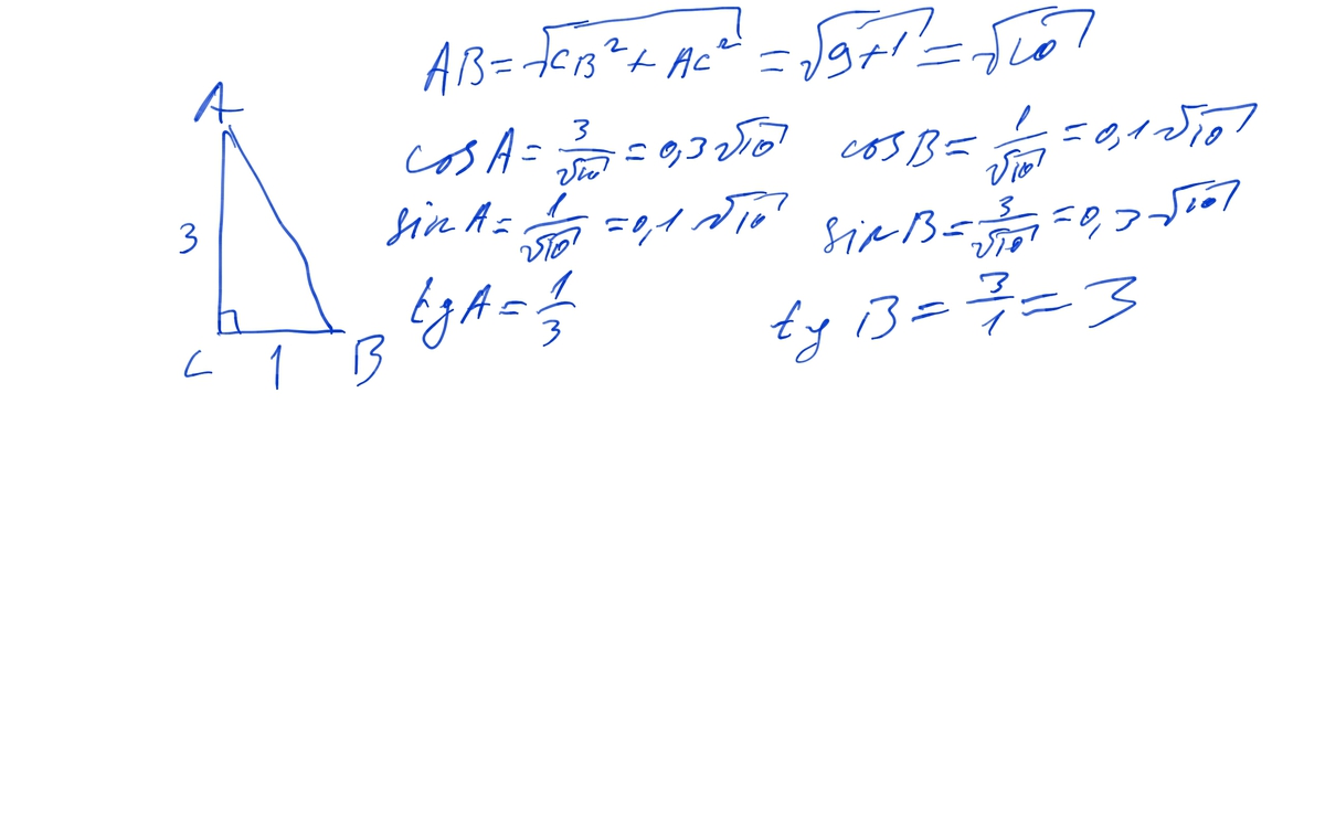
найти синус косинус угла и тагенс углов А и В треугольника АВС с прямым углом С, если ВС=1дм АС=3дм
Ответы
Ответ дал:
0
находим гипотенузу то теореме Пифагора
Приложения:

Вас заинтересует
2 года назад
2 года назад
7 лет назад
7 лет назад
10 лет назад