Ответы
Ответ дал:
0
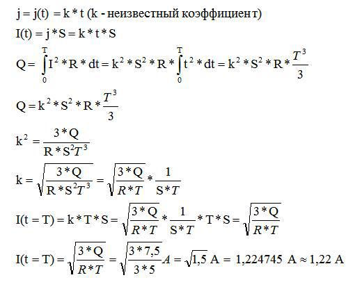
Мощность "прибора" равна P=UI=I^2R. Обозначим ток в конце пятой секунды как Im, тогда, исходя из линейного возрастания тока от нуля получим зависимость тока от времени I=0.2Im*t. Подставляем это значение в формулу мощности: P=0.04RIm^2*t^2. Энергия есть интеграл мощности по времени, значит E=0.04RIm^2*(t^3/3);
Отсюда находим Im=SQRT(3E/(0.04R*t^3));
Im=SQRT(3*7.5/(0.04*3*125));
Im=SQRT(1.5);
Im=1.22 А (округлённо)
Отсюда находим Im=SQRT(3E/(0.04R*t^3));
Im=SQRT(3*7.5/(0.04*3*125));
Im=SQRT(1.5);
Im=1.22 А (округлённо)
Ответ дал:
0
смотри решение во вложении
Приложения:
Вас заинтересует
2 года назад
2 года назад
8 лет назад
10 лет назад