• Предмет: Алгебра
  • Автор: dkuralova
  • Вопрос задан 10 лет назад

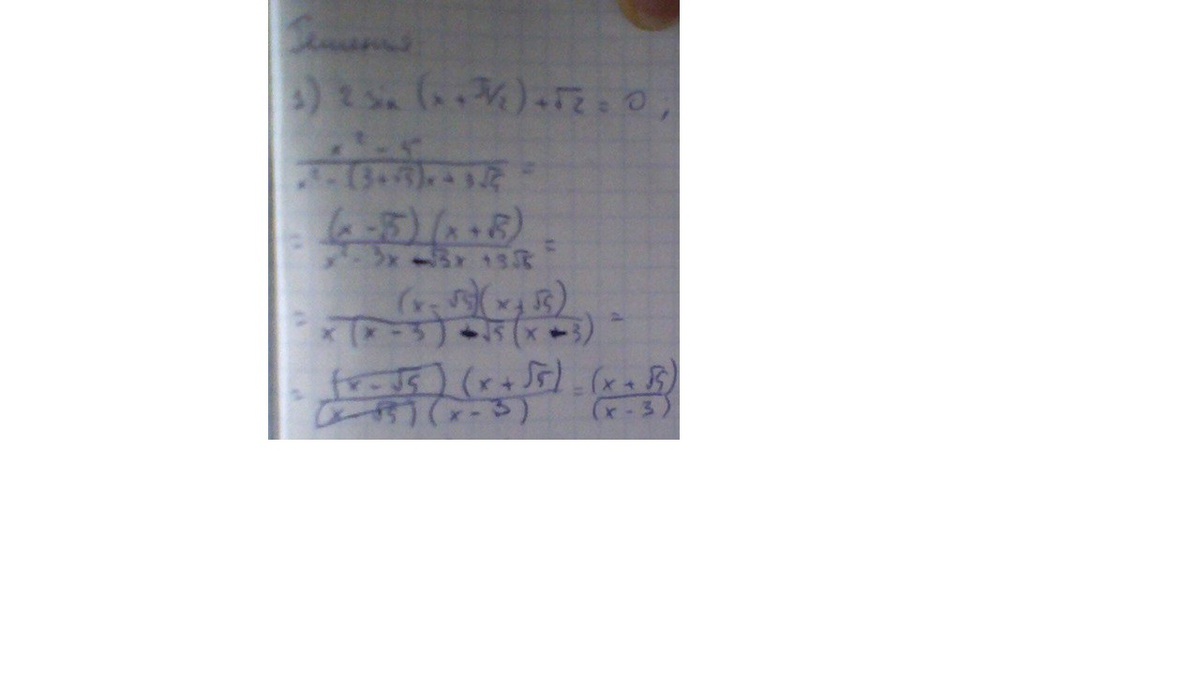
Сократите дробь пожалуйста

Приложения:

Ответы

Ответ дал: pasha007780pk
0
Решение смотрите на картинке)) вопросы будут, спрашивайте
Приложения:
Ответ дал: dkuralova
0
Спасибо
Ответ дал: pasha007780pk
0
Обращайтесь, всегда пожалуйста))
Вас заинтересует