• Предмет: Математика
  • Автор: reginausmanova1
  • Вопрос задан 10 лет назад

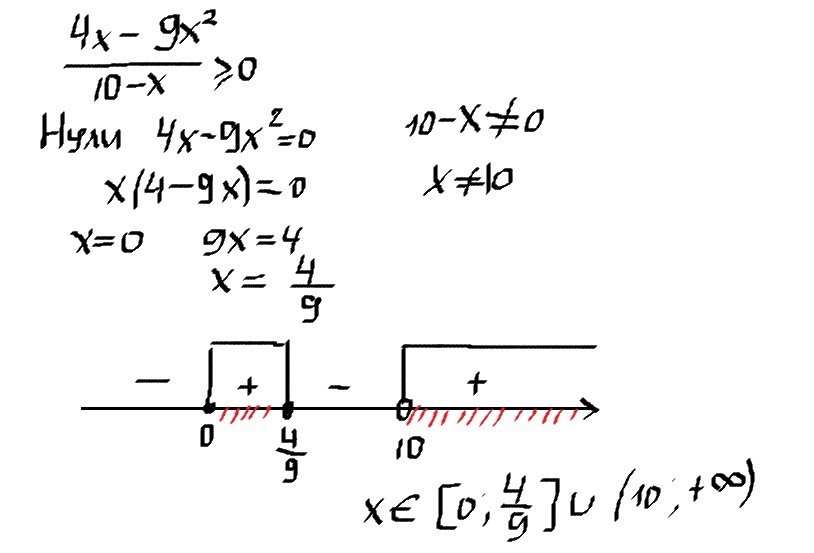
4x-9xв квадрате/10-X больше или равно нуля

Ответы

Ответ дал: Луни7
0
..........................................
Приложения:
Ответ дал: reginausmanova1
0
Спасииибо))
Вас заинтересует