Ответы
Ответ дал:
0
Решение смотри в приложении
Приложения:

Ответ дал:
0
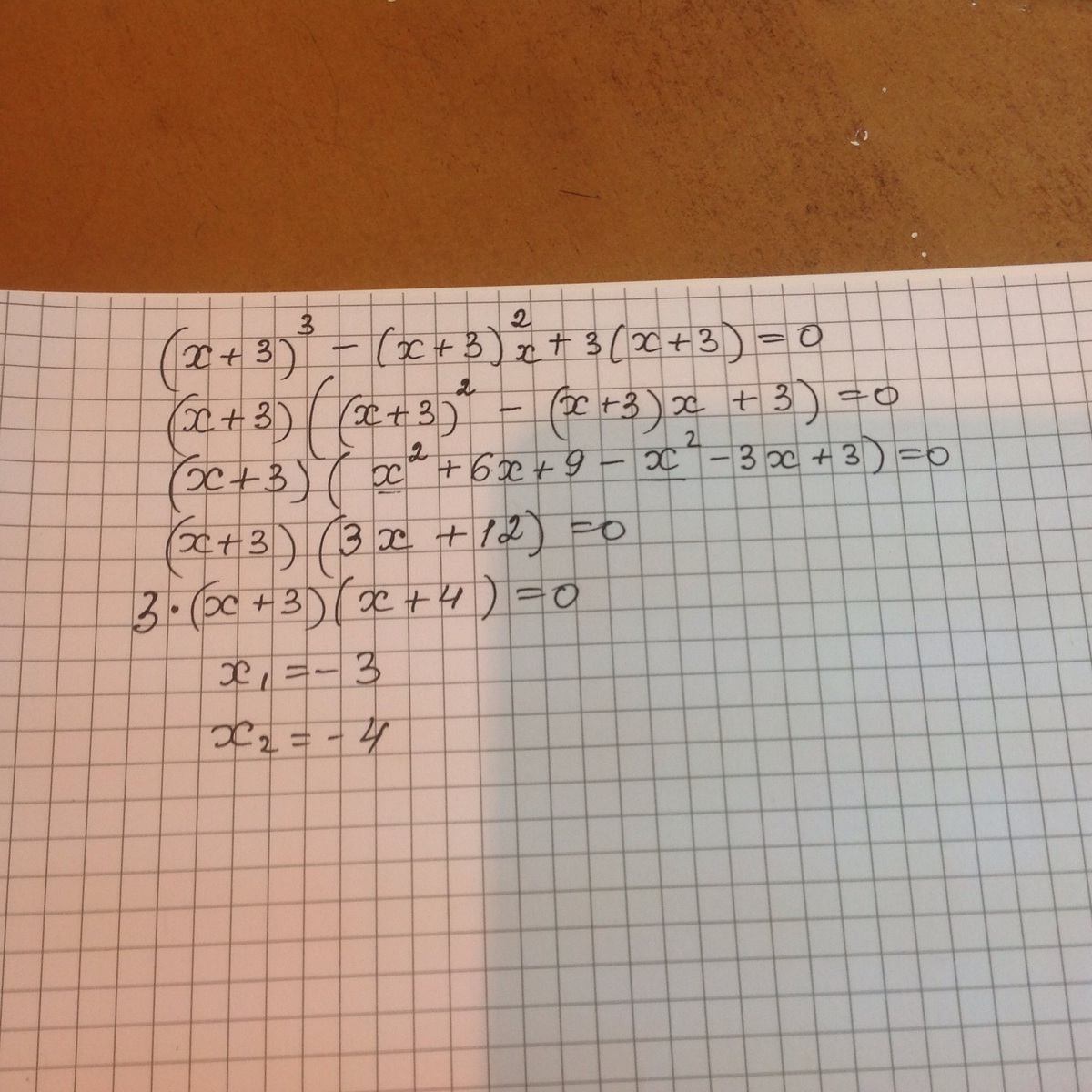
( x + 3)^3 - x( x + 3)^2 + 3( x + 3) = 0
( x + 3)( (x + 3)^2 - x(x+ 3) + 3) = 0
( x + 3)( x^2+6x+9 -x^2 -3x + 3) = 0
( x + 3)( 3x + 12) = 0
x + 3 = 0
x = - 3
3x + 12 = 0
3x = - 12
x = - 4
Ответ: x = - 3, x= - 4.
( x + 3)( (x + 3)^2 - x(x+ 3) + 3) = 0
( x + 3)( x^2+6x+9 -x^2 -3x + 3) = 0
( x + 3)( 3x + 12) = 0
x + 3 = 0
x = - 3
3x + 12 = 0
3x = - 12
x = - 4
Ответ: x = - 3, x= - 4.
Приложения:

Вас заинтересует
2 года назад
2 года назад
7 лет назад
7 лет назад
10 лет назад
10 лет назад
10 лет назад