Ответы
Ответ дал:
0
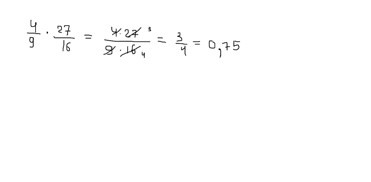
ответ на картинке
__________________________
__________________________
Приложения:

Ответ дал:
0
в смысле 0,75
Ответ дал:
0
а всё поняла
Ответ дал:
0
Большое спасибо
Вас заинтересует
2 года назад
2 года назад
7 лет назад
7 лет назад
10 лет назад
10 лет назад
10 лет назад