Ответы
Ответ дал:
0
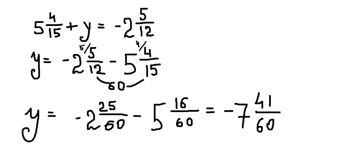
5 4/15+у=-2 5/12;
У=-2 5/12-5 4/15;
У=-7 25/60-16/60;
У=-7 41/60
Ответ дал:
0
))))))))))))))))))))))))))))))))))))))
Приложения:

Вас заинтересует
2 года назад
7 лет назад
10 лет назад
10 лет назад