Ответы
Ответ дал:
0
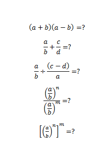
1) a²-b²
2) ad/bd+bc/bd
3)
4)n-m
5)(a/b)^n*m
2) ad/bd+bc/bd
3)
4)n-m
5)(a/b)^n*m
Вас заинтересует
2 года назад
2 года назад
8 лет назад
8 лет назад
10 лет назад
10 лет назад
10 лет назад