• Предмет: Химия
  • Автор: Лампочка322
  • Вопрос задан 11 лет назад

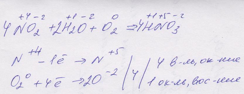
NO2+H2O+O2->HNO3 расставить коэффициенты методом электронного баланса

 

 

 

Ответы

Ответ дал: udodovi
0
прикрепил...........................
Приложения:
Вас заинтересует