Ответы
Ответ дал:
0
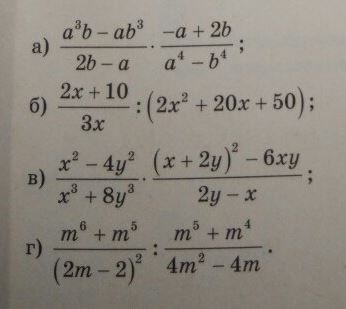
при делении дробь переворачиваем и будет умножение
б)
(2(x+5)/3x) * 1/(2(x²+10+25)=
=(2(x+5)*1/
/(3x*2(x+5)²=
=1/(3x(x+5)
в)
(x-2y)(x+2y)*(x+2y)²-6xy)/
(x+2y)(x²-2xy+4y²)*(-(x-2y)=
= (x²+4xy+4y²-6xy)/
/-(x²-2xy+4y²)=
= -(x²-2xy+4y²)/
/(x²-2xy+4y²)= -1
а) (ab(a²-b²) * (2b-a))/ / (2b-a) * (a²-b²)(a²+b²)= =ab/(a²+b²) г) (m^5(m+1)) * (4m(m-1))/ / 2(m-1)^2 * m^4(m+1)= =2m^2/(m-1) значок ^ обозначает в степени и при делении дробь переворачиваем и будет умножение
б)
(2(x+5)/3x) * 1/(2(x²+10+25)=
=(2(x+5)*1/
/(3x*2(x+5)²=
=1/(3x(x+5)
в)
(x-2y)(x+2y)*(x+2y)²-6xy)/
(x+2y)(x²-2xy+4y²)*(-(x-2y)=
= (x²+4xy+4y²-6xy)/
/-(x²-2xy+4y²)=
= -(x²-2xy+4y²)/
/(x²-2xy+4y²)= -1
а) (ab(a²-b²) * (2b-a))/ / (2b-a) * (a²-b²)(a²+b²)= =ab/(a²+b²) г) (m^5(m+1)) * (4m(m-1))/ / 2(m-1)^2 * m^4(m+1)= =2m^2/(m-1) значок ^ обозначает в степени и при делении дробь переворачиваем и будет умножение
Ответ дал:
0
еще а и г напишу, инет подвисал
Ответ дал:
0
Cлушай не легче было написать в тетрадке и сфоткать??
Ответ дал:
0
к сожалению телефон в ремонте
Вас заинтересует
2 года назад
2 года назад
8 лет назад
10 лет назад
10 лет назад