• Предмет: Математика
  • Автор: тина47
  • Вопрос задан 10 лет назад

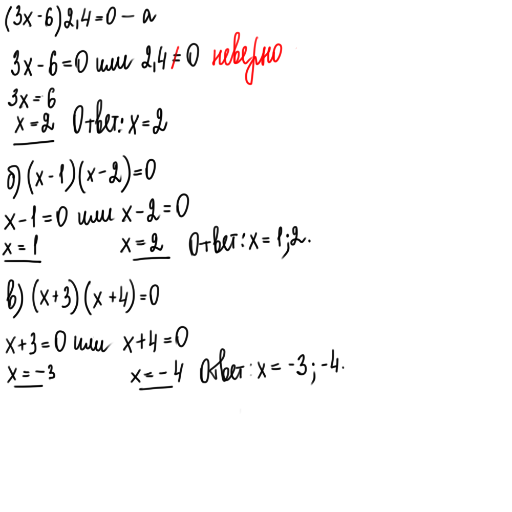
решите уравнение использовав свойство произведения равного нулю 4×(х-5)=0 -8×(2,6+х)=0. 1,5×(41-х)=0 (3х-6)×2,4=0

Ответы

Ответ дал: Бахтиёр89274134787
0
*********))))))..........
Приложения:
Ответ дал: Александра123456789э
0
произведение равенства ровна 50 кмм в час
Приложения:
Вас заинтересует