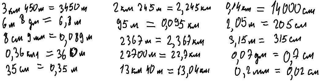
выразите в требуемых единицах длины в метрах 3 км 450 м. 6м 8 дм . 8см 9мм. 0.36км . 35 см в километрах 2 км 245м . 95м. 2367м. 22700м . 13км 40м. в сантиметрах 0.14км. 2.05м . 3.15м . 0.07 дм . 0.2 мм
Ответы
Ответ дал:
0
Решение во вложении)
Выберите мой ответ лучшим, пожалуйста, если вам не сложно)
Выберите мой ответ лучшим, пожалуйста, если вам не сложно)
Приложения:

Ответ дал:
0
спасибо вам большое
Вас заинтересует
2 года назад
2 года назад
7 лет назад
7 лет назад
10 лет назад
10 лет назад
10 лет назад