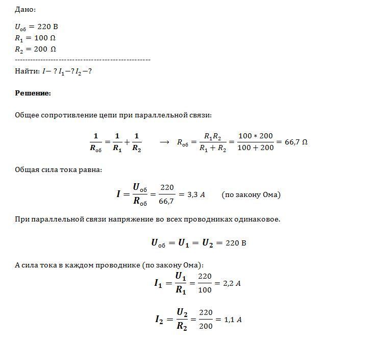
Два проводника сопротивлением 100 и 200 ом соединены параллельно и включены в сеть напряжением 220 В. Чему равна сила тока в каждом проводнике и подводящих проводах?
Ответы
Ответ дал:
0
Решение во вложении:
Приложения:
Вас заинтересует
3 года назад
3 года назад
8 лет назад
11 лет назад
11 лет назад
11 лет назад
11 лет назад